水性聚氨酯分散體干燥過程
終端用戶很少直接使用水性聚氨酯分散體,最終被用戶使用的是水性聚氨酯分散體干燥后的漆膜,涂層和被水性聚氨酯分散體粘合的材料。水性聚氨酯分散體轉化為最終被用戶使用的漆膜,涂層和粘合層必須經過一個干燥成膜的過程。單一針對水性聚氨酯分散體的干燥和成膜過程研究不多,實際上水性聚氨酯分散體的干燥與成膜過程與其他乳膠和分散體并無太多不同,只是水性聚氨酯分散體的某些特征表現得更為突出。本文先解釋一點乳膠或分散體干燥和成膜的基本理論,而后應用這些基本理論解釋和論述水性聚氨酯分散體干燥和成膜的特性。由于干燥和成膜理論涉及太多模型和復雜的理論公式推導,而這些模型和理論過于復雜,我們這些化學研究者也不需要去研究這些模型和理論,需要的只是了解這些理論的基本知識和通過公式復雜計算獲得的最終結論,以及這些結論去指導和解決實踐中遇到的問題。因此本文將省略所有公式推導,簡單介紹理論的數學模型和結論,重點介紹怎樣用這些理論解決實踐中遇到的問題。
分散體干燥理論
1.1 純水揮發
水的揮發可以說是一個極為常見也極為簡單的現象。但是這類簡單的現象也會涉及到復雜的理論。關于水的揮發簡單定義幾個概念,首先所謂水揮發是指液體水轉化為氣態的過程,在這里所說的揮發是指非沸騰狀態下的水揮發,是一種表面揮發,是水分子從液體水表面逃逸進入其外部空間環境的過程。此時還可以定義揮發速度E 這個概念,水揮發速度指水分子在單位表面,單位時間揮發進入空氣的量。我們也可采用另外一種方式定義水分揮發速度E ′。E ′指因水揮發而造成界面下降的速度。根據物理定義這兩個概念的關系是E ′=E /ρ,而對于純水,ρ=1,因此對于純水,E=E ′。水分子從液體揮發進入空氣需要能量,定義單位質量水揮發進入空氣需要的熱量為水揮發潛熱(Latent heat of vaporisation of water)。
水的揮發與其他液體如有機溶劑揮發本質是相同的,但水揮發有2個特別之處,其一是水的揮發潛熱特別大,達到2 260 J/g。相比沸點相近的有機溶劑如甲苯,其揮發潛熱僅367 J/g,水的揮發潛熱為甲苯的6 倍多,即水揮發需要更多的熱量。由于水的揮發潛熱特別大,有人做過粗略計算,假設100 g 40%含固量的高分子分散體在絕熱環境中干燥,60 g 水完全揮發,剩余40 g 涂料需要下降350℃以提供水分揮發需要的熱量。當然在現實中不可能觀測到如此大幅度降溫,環境可以補充水分揮發帶走的熱量,隨著水分揮發,涂層溫度略低于環境溫度,環境將熱量傳遞給涂層,最終達到一種溫度平衡。水揮發第二個特別之處在于大氣環境中本身就有水蒸氣的存在,已經存在一個水蒸氣壓,而大氣環境中一般不會出現相應的溶劑蒸氣壓。水的蒸氣壓的存在會影響水分揮發,當外界水的蒸氣壓達到飽和時,水的揮發甚至會停止。對于水的揮發理論,從不同角度觀察可以有不同的理論模型,如以從分子運動角度建立模型,考察水分子獲得能量從水界面逃逸的過程,不同模型理論可以適合解釋不同的現象。對于我們關心的水性分散體干燥過程,更愿意采用水分揮發界面層擴散模型。
水分揮發界面層擴散模型(見圖1)認為水分子揮發進入空氣,其液氣界面的蒸汽壓達到水的飽和蒸氣壓,水氣界面上方存在一個高度為Lb 的邊界層,邊界層上部水的蒸氣壓與大氣環境水蒸氣壓相同,在邊界層內,隨著高度增加從界面的飽和蒸氣壓線性降低到外部環境水的蒸氣壓。水的揮發速度決定于水分子擴散通過此邊界層的速度。
根據邊界層擴散模型,通過復雜的擴散理論可以計算出水的揮發速度,并可以通過實驗數據計算出在完全靜止空氣中邊界層厚度一般在5mm左右。水的揮發速度與溫度有關,溫度越高,水分子擴散通過邊界層速度越快。水的揮發速度與水的飽和蒸氣壓與大氣水的蒸氣壓差有關,水蒸氣壓差越大揮發速度越快,當然水的飽和蒸氣壓又與溫度有關,提高溫度可以提高水的飽和蒸氣壓,但環境大氣中水的蒸氣壓不會因溫度提高而提高,因此提高溫度可以提高水的飽和蒸氣壓與環境水蒸氣壓差的值。水的揮發速度還會受到空氣流動的影響,空氣流動可以干擾邊界層厚度,微小的空氣流動都可以提高水揮發速度。有人發現實驗室門的開關與否,對水的干燥速度都會產生極大的影響。
1.2 水性分散體的水分揮發
早在20世紀70年代,Vanderhoff 等(1973年)采用最簡單的稱質量方法測定乳膠水分揮發速度。發現乳膠水分揮發可以分為3 個階段。首先是一個勻速揮發階段,而后緊跟一個減速揮發階段,最后是一個逐步漸進到揮發速度為0的緩慢揮發階段。
而后在20世紀80年代后期,Croll等(1986~1987)發現有些乳膠干燥只存在2個階段,勻速階段和慢速階段。
Vanderhoff發現的乳膠干燥過程3階段現象和Croll發現的2階段現象在分散體干燥過程中都是存在的,其中關鍵差別是干燥過程中分散體表面是否存在“結皮”現象。Vanderhoff發現的乳膠干燥過程3階段現象實際上是乳膠干燥過程中出現了“結皮”現象,在乳膠干燥初期,其表面未出現“結皮”表現為一種勻速揮發,其后隨著揮發進行乳膠粒子在表面濃縮堆積形成了致密薄膜,水分需要通過這層薄膜才能揮發進入空氣,揮發速度下降,隨著干燥的進行,表面膜越來越厚,水分揮發速度越來越低,直至“結皮”直達基材,其后干燥進入極慢速階段,殘留水分揮發。而Croll 發現的乳膠干燥2階段現象是乳膠干燥過程中未出現“結皮”現象,水分以接近純水揮發速度揮發。這種階段直至乳膠濃縮達到臨界濃度,乳膠粒子形成緊密堆積。其后水分揮發進入慢速階段。
1.3分散體垂直干燥現象及理論
在分散體干燥過程中,由于水分僅能從其表面揮發,揮發結果一定會造成某些區域濃縮形成濃度不均現象。乳膠干燥實驗發現,乳膠干燥過程中粒子產生不均勻分布既可出現在垂直方向也可以出現在水平方向。出現在垂直方向上的不均勻現象稱為垂直干燥,而出現在水平方向上的不均勻現象稱為水平干燥。垂直干燥是乳膠干燥中必定存在的一種現象,圖4是乳膠垂直干燥示意圖,隨著水分從表面揮發,粒子在乳膠表面會產生濃縮現象。
伴隨粒子在表面濃縮,隨之產生了粒子從高濃度向低濃度擴散的趨勢,因此在乳膠干燥過程中出現兩個競爭的時間尺度,其中一個時間尺度涉及到濕態膜厚為H 的乳膠干燥時間tevap,另一個時間尺度涉及到表面粒子擴散到基材需要的時間tdiff。簡單地說就是因水分揮發粒子在表面濃縮和粒子從濃縮表面擴散到未濃縮區域的競爭。Peclet提出了一個所謂的Peclet 值的概念Pe,它是干燥過程中粒子從表面擴散到基底需要的時間和薄膜干燥需要的時間的比值。
當Pe>1 時,表明粒子在表面濃縮速度大于擴散速度,表面會出現“結皮”現象,產生干燥3 階段現象。而當Pe<1時,粒子的擴散速度大于粒子在揮發表面的濃縮速度,干燥過程一直維持基本均勻濃縮直至達到臨界緊密堆積狀態,干燥表現出2 階段現象。
從擴散理論建立數學模型可以推導出:
其中μ為水相黏度,R為乳膠粒子粒徑,H為膜厚度,E為干燥速度,K為氣態常數,T為絕對溫度。
從公式可以看出,增加黏度,增加乳膠粒徑,增加膜厚和加快干燥速度,都會使得Pe值提高,加重干燥過程中表面“結皮”現象。此結論應該較好理解,黏度增加會減緩粒子從濃縮區域向其他區域擴散速度。粒徑增加會緩慢粒子擴散,厚度增加會加大粒子擴散距離,干燥速度增加會加快粒子表面濃縮速度,至于溫度的影響從公式上看應該是提高溫度會降低Pe 值,但需要考慮的是溫度一般還會影響水分揮發速度。如果將溫度對揮發速度的影響考慮進去,溫度對Pe 的影響會變得比較復雜。在乳膠干燥中常常會出現欲速而不達現象,人為提高分散體干燥速度結果造成分散體表面結膜,最終還會使得干燥速度下降。
1.4 分散體水平干燥現象及理論
在實踐中常常可以觀察到乳膠干燥過程中水平方向不均勻現象。在實驗室中較為常見,將分散體倒在玻璃板上,過一段時間可以發現周邊已經干燥,而中心部位還是可以流動,干燥部分和未干燥部分界線分明且厚度明顯差異,隨著干燥進行,干燥和未干燥界線向前推進,最終與另一邊推進的界線相遇,膜完全干燥。科學家仔細觀察這種現象,發現干燥和未干燥界線實際上是兩條,干燥前鋒(drying front)和粒子組裝前鋒(packing front),見圖5。
科學家感興趣的是為何會產生這種水平干燥的現象,將乳膠或高分子分散體倒在玻璃板上時,由于表面張力作用其乳膠邊緣出現圓弧現象,邊緣較薄,見圖6。
假定分散體水分揮發只與表面積有關,也就是說不管膜厚如何,其水分揮發速度相同,此假定符合實驗觀察到的現象,前面談到分散體干燥過程中3 階段和2 階段現象,不管是3 階段還是2 階段,都有一個勻速階段,也就是說水分在此階段水分揮發速度與分散體濃度無關,隨著水分揮發其濃度增加但揮發速度不改變。在理論上,假如乳膠表面不管濃度如何,表面完全覆蓋水分,就應該有相同的揮發速度。由于水的表面張力,乳膠表面確實存在這層水膜,即使有乳膠粒子進入表面,其乳膠粒子表面還是被水分覆蓋。假定水分揮發速度與膜厚無關,其結果是涂膜薄的地方乳膠濃度濃縮速度快于膜厚的地方。膜邊緣快速濃縮,快速濃縮的邊緣和慢速濃縮的中心形成水分含量的梯度,含量差異造成水分從含水量高的中心向水分含量低的邊緣遷移擴散,水分的遷移還會攜帶粒子,粒子在組裝前鋒就被阻擋而在組裝前鋒堆積,而水分進入組裝區在此區域繼續揮發。隨著粒子在組裝前鋒的堆積,粒子組裝前鋒向前推進,而水分在粒子組裝區域擴散能力有限,隨著粒子組裝前鋒的推進,干燥前鋒也隨之推進。形成了這種水平干燥現象。
水平干燥現象不僅僅是在因表面張力造成邊緣變薄時會產生,在涂裝過程中厚薄不均時也會產生這種水平干燥現象。垂直干燥和水平干燥是乳膠干燥時的兩個側面,兩種干燥模式不是非此即彼的關系,由于水分是從乳膠表面揮發,因此垂直干燥模式是一定會產生的,至于水平干燥是在涂層存在邊緣或厚薄不均時出現。實際干燥過程中大多是同時進行兩種模式的干燥。
在談到水平干燥現象時,順便提及一個概念,乳膠或分散體施工時的開放時間(open time or lapping time)。工程上通常指涂層邊緣開始干燥的時間。在工程上常常要進行大面積涂裝,涂裝工人一般會分塊施工,這就產生了一個問題,假如前期施工部分邊緣出現干燥,后期施工部分和前期施工部分就會產生接縫現象,影響涂裝外觀,因此后續部分施工必須在前期施工部分的邊緣出現干燥之前進行。這種前期施工部分容許后期再施工的時間就是開放時間(open time)。科學家根據水平干燥理論建立的開放時間的理論公式,定義了一個毛細壓降低參數Pcap。Pcap 值越大,開放時間越長。建立數學模型可以計算出毛細壓降低參數Pcap。
其中γ為乳膠表面張力,H為濕涂層厚度,Kp為水在粒子組裝區域的擴散系數,μ為水相黏度,E′為干燥速度,R為乳膠粒徑,L為毛細長度,指的是因表面張力使得分散體濕膜邊緣變薄區域長度。
從式(3)可以看出厚涂和降低干燥速度都可以延長開放時間,增加水相黏度會縮短開放時間,而粒徑對開放時間影響比較復雜,從公式上看減小粒徑應該會延長開放時間,但是水在粒子組裝區域的擴散系數也與粒徑有關,通常來說粒徑越小造成水的擴散系數也越小。因此減小粒徑會因減小水的擴散系數而縮短開放時間,兩種因素相互競爭使得粒徑對開放時間的影響變為不確定。表面張力對開放時間的影響也是不確定,毛細長度與表面張力也有關。
2 分散體穩定性對干燥的影響
分散體或多或少都含有一定量的電解質,電解質的濃度會影響分散體的穩定,而在干燥過程中電解質通常不能隨水分揮發,因此干燥過程中殘留在分散體中的電解質會產生濃縮現象,假如電解質濃縮到一定濃度會破壞分散體穩定,就會造成干燥后期分散體出現凝聚。凝聚的出現會造成涂層表面粗糙涂層產生孔洞而渾濁不透明。干燥過程中分散體的不穩定現象還會因為分散體濃縮而加劇,隨著分散體越來越濃,分散體粒子越來越接近。濃度因素會壓迫分散體的雙電層相互接近。大家從分散體穩定理論知道,分散體粒子間作用力是雙電層相互排斥和范德華力相互吸引兩種力共同作用的疊加。最大排斥力出現在粒子相互接觸前,當分散體濃縮粒子被擠壓到出現最大排斥距離后,進一步擠壓粒子就有可能表現為相互吸引而出現凝聚,電解質的存在會改變這個最大排斥力距離。
3 分散體干燥時產生的應力及應力造成的涂層開裂現象及理論
分散體干燥過程中產生應力及應力造成開裂現象是分散體干燥過程中的普遍現象。應力的產生原因一般認為是由于毛細壓和體積收縮。毛細壓形成的應力出現在分散體粒子形變階段,體積收縮在水相聚氨酯分散體中較為嚴重,一般出現在粒子形變后期。
研究者通常采用所謂的膜彎曲方法(membranebending)研究分散體干燥時的應力分布,其原理是將分散體涂覆在軟基體上,由于應力形成造成軟基材彎曲,通過物理方法測定基材彎曲程度確定應力分布。
3.1 毛細壓產生的應力
毛細壓產生應力出現在粒子變形階段。應力在垂直干燥和水平干燥都會出現,但研究者通常采用水平干燥觀測應力出現及變化,因為水平干燥應力在水平方向分布容易被觀測。圖7是研究者采用基材彎曲方式觀測到的二維圓形分散體涂膜應力分布狀況。
假如分散體因應力產生裂紋的話,裂紋通常是一些平行線,并出現一個裂紋前鋒,且裂紋前鋒位于粒子組裝前鋒之后,裂紋前鋒跟隨粒子組裝前鋒推進而推進。
出現這種現象的合理推理是應力產生于粒子堆積區域,在保持液體狀態的稀乳膠區域沒有應力,而干燥區域由于粒子形變或裂縫產生使得應力釋放也無應力。學者基本同意此時應力是由于毛細管壓力形成,在粒子組裝區域,由于粒子已經形成緊密堆積,水分的揮發,使得水的界面低于粒子堆積高度,此時水會在粒子間形成的毛細管中形成彎曲界面,這種彎曲界面形成的表面張力會將粒子相互拉近,形成應力。
其后在論述分散體成膜過程中粒子形變時還會涉及到這種毛細管壓力,實質上正是這種力產生了粒子形變。假如粒子的剪切模量較低,小于毛細管壓力,粒子將會產生形變來釋放這種應力,可以獲得均勻無裂痕涂膜,假如粒子剪切模量較大,毛細管壓力不足于使粒子變形以釋放應力,涂膜只有形成裂痕以釋放應力。在水平干燥過程中,一旦裂紋形成,裂紋前端就會形成應力集中點,新的裂紋一定會在應力集中點發展,就像折斷一根有裂痕的筷子,斷裂處一定是在裂痕處。新的裂紋跟隨粒子組裝前鋒推進就形成一系列平行裂紋。必須強調的一點是毛細壓引起的應力在水平干燥和垂直干燥都存在,但應力引發的開裂現象卻在水平干燥過程中較為常見,在垂直干燥過程形成應力的表面與不能收縮的基體之間有一層可以流動的液體存在,收縮應力可以通過液體滑動而釋放,通常不會形成涂膜開裂但應力的不均勻會引起涂膜表面起皺。水平干燥和垂直干燥應力形成機理是完全相同的,都是毛細管壓力造成的,只是表現形式不同而已。
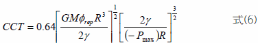
研究發現相同的分散體涂膜是否開裂,與涂膜厚度有很大關系,涂層厚時會產生開裂現象,隨著涂層厚度降低,開裂現象越來越輕微,當涂層厚度降低到某一數值后,涂層不再出現開裂現象,這一厚度研究者將其定義為臨界開裂厚度CCT(Critical Cracking Thickness),CCT 在一定程度上可以表征分散體的抗干燥開裂性能,CCT 值越高說明分散體可以獲得越厚的無裂紋涂層,其抗干燥開裂性能越好。
Tirumkudulu 等建立一個數學模型計算出臨界開裂厚度與其他因素的關系,其計算結果如下:
其中σc為形成開裂的臨界張力,G為分散體粒子剪切模量,M為協同參數,φrep為粒子隨機緊密堆積體積分數,R為分散體粒徑,γ為分散相水與空氣界面張力,h為開裂時膜厚度。
對于分散體粒子,會出現兩種極端狀況需要分別進行討論,第一種狀況是分散體粒子剪切模量較低,粒子可以變形,上式通過簡化可以獲得臨界開裂厚度公式:
也就是說,當粒子易于變形時,臨界開裂厚度與粒子剪切模量成反比,剪切模量越低,則獲得的無裂紋涂層越厚。臨界開裂厚度還與表面張力成正比,按理說表面張力越大形成的干燥應力越大,涂層越易開裂,但是鑒于粒子很易形變釋放應力,表面張力越大給與粒子形變的力也就越大,還有一個有意思的結論是涂層是否開裂與分散體粒徑無關。
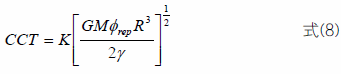
對于粒子剪切模量較高的體系,粒子形變需要的應力超過了毛細管壓力,粒子僅能有限形變,此時獲得的涂層粒子間可能出現微小空隙,需要說明的是微小空隙不是開裂,完全可以獲得不具有粒子形變能力的無機顏料分散體的均勻膜,雖然微觀顏料粒子間存在空隙。開裂是指宏觀的薄膜斷裂現象。對于粒子剪切模量較高的體系,計算獲得的臨界開裂厚度公式為:
其中Pmax 為最大毛細壓力,它與粒徑、粒子表面性質及表面張力等有關:
其中θ為粒子表面與水的接觸角,φrep 為隨機緊密堆積的體積分數,對于確定體系,接觸角和隨機堆積體積分數(理論為0.64)都是確定的,因此式(7)中后一項為一常數,合并0.64 與此常數,公式(6)簡化為:
其中K為常數,式(8)表明臨界開裂厚度與分散體粒子剪切模量的平方根成正比,與粒徑的1.5次方成正比,與表面張力的平方根成反比。
有人測定各種硬度較高的高分子分散體,無機顏料分散體的臨界開裂厚度,然后將臨界開裂厚度與分散體(GMφrepR3/2γ)1/2 作圖,得到一條直線,見圖10,從實踐上證明式(8)的正確。
圖10中丙烯酸乳液選擇G為0.8Gpa,2R分別為82nm、133nm、206nm、353nm;聚苯乙烯-丁二烯乳液G為1Gpa,2R為250nm;硅分散體G為31Gpa,2R為22和330;鋁分散體的G為156Gpa,2R分別為230nm、379nm、458nm、489nm;聚苯乙烯乳液的G為1.6Gpa,2R為300nm;鋯分散體的G為81Gpa,2R為200nm。Tirumkudulu比較成功因為它很好地符合了實驗結果,實驗證實了粒子剪切模量低時臨界開裂厚度與剪切模量成反比,粒子剪切模量高時,臨界開裂厚度與粒子剪切模量的平方根成正比的結論,如圖11。
3.2 分散體開裂的體積收縮因素
分散體干燥時粒子的體積收縮引起膜收縮也會產生應力,分散體干燥時粒子體積是否會收縮要看粒子內部是否含有可揮發組分,如結合水、溶脹的有機溶劑。在干燥后期這些在粒子內部的組分揮發,會造成粒子體積縮小而引起膜體積收縮產生收縮應力。水性聚氨酯分散體粒子內存在結合水現象,影響水相聚氨酯分散體干燥過程中收縮引起的應力特別嚴重。
4 水性聚氨酯分散體干燥過程的特殊性
水性聚氨酯分散體與其他分散體或乳膠在結構上最大區別是水性聚氨酯分散體粒子內存在大量結合水。為其后論述方便,先將水性聚氨酯分散體的粒子結構簡單說明一下。
(1) 聚氨酯分散體結構中的親水基團主要分布在粒子表面,但親水基團不是單分子層分布在粒子表面,而是分布在表面層;
(2) 親水基團分布的表面層在分散狀態下溶脹水形成邊界層,邊界層厚度與親水基團含量有關,親水基團含量越高邊界層越厚,甚至可以達到粒子核心;
(3) 在粒子核心親水基團含量和水溶脹率最低,越接近粒子表面親水基團含量和水溶脹率越高,在粒子表面親水基團含量和水溶脹率達到最大值;
(4) 光散射測定結果表面粒子內結合水最高可達60%~85%,一般水性聚氨酯分散體在20%~50%范圍。水性聚氨酯分散體粒子結構模型示意圖見圖12。
4.1 水性聚氨酯分散體粒子內結合水對干燥的影響
在探討水性聚氨酯分散體干燥過程的特殊性之前,先觀察水性聚氨酯分散體干燥的一些實驗結果。測定水性分散體干燥速度的最簡單方法是通過稱量法測定分散體在一定條件下的失質量而計算分散體干燥速度。圖13 是相同含固量的水性聚氨酯分散體與參照水性丙烯酸酯乳液的干燥速度比較。
從圖13看出,水性聚氨酯分散體干燥呈現3階段,參照聚丙烯酸酯乳液干燥呈現2 階段,且水性聚氨酯分散體干燥速度一直低于參照的聚丙烯酸酯乳液。出現這種干燥過程緩慢的原因是水性聚氨酯分散體粒子內含有大量的結合水。在討論水性聚氨酯分散體粒子內結合水對干燥影響之前,先明確兩個觀點。其一是聚氨酯分散體粒子內的水是通過氫鍵與聚氨酯親水基團締合,粒子內部的水是一種結合水而不是游離水,這種結合水不能像擠去海綿中的水一樣用機械方法除去,結合水的揮發速度遠小于游離水。其二是結合水實質上是構成分散體內相的物質,通俗來說粒子內的結合水是“含固量”的一部分。當然結合水和分散相水分一樣最終會完全揮發。
基于以上兩種概念,可以將水性聚氨酯分散體的干燥分為兩個階段,第一階段,將水性聚氨酯分散體看成聚氨酯與其結合水構成的水合高分子分散于水中的分散體,它與普通分散體干燥過程一樣,分散相游離水揮發,構成分散質的聚氨酯水合物成膜,獲得水合聚氨酯膜;第二階段是含結合水高分子薄膜,進一步干燥。
水性聚氨酯分散體干燥的第一個階段是分散相游離水分的揮發,此時將結合水看成分散質,游離水分的揮發與普通分散體就沒有什么不同了。需要強調的是將粒子內結合水看成分散質后,比如表觀含固量為30%的聚氨酯分散體粒子內溶脹50%結合水,其理論分散質(包括結合水)含量是45%。可以想象一下,30%含固量和45%含固量的分散體干燥有何不同,對于大多分散體,快速揮發和慢速揮發的轉化點基本處于形成隨機緊密堆積,對于單分散球體顆粒,理論隨機堆積密度為64%,實際分散體隨機緊密堆積密度一般在0.6~0.7。形成緊密堆積之前分散體處于流動狀態,有較快的干燥速度,而形成緊密堆積后,分散體失去流動性,水分需要擴散通過緊密堆積區域才能揮發,揮發速度較慢。也就是說對于100 g 30%含固量分散體,需要揮發53.125 g 水才能達到隨機緊密堆積系數0.64,而對于100 g 45%含固量分散體僅需揮發29.687 5g水就可以達到緊密堆積。
可以從另外一個角度分析這種現象。對于不含結合水的高分子分散體,達到隨機緊密堆積的空間堆積分數為0.64,假定高分子密度也為1 g/cm3,緊密堆積時含固量應該為64%,而對于含有結合水的聚氨酯分散體,其隨機緊密堆積空間堆積分數也為0.64,問題是堆積球體的構成是66.6%高分子,33.3%水,假定其密度也是1 g/cm3,那么形成緊密堆積時分散體表觀含固量僅有42.6%。也就是說,普通30%含固量分散體干燥到64%時出現緊密堆積,而對于含有結合水表觀含固量也為30%的聚氨酯分散體,表觀含固量達到42.6%時就已經出現緊密堆積了。粒子內結合水的存在還會改變分散體干燥過程,結合水的存在會增加分散體粒子粒徑,增強粒子間的相互作用,降低粒子剪切模量。粒徑的增加會降低粒子的擴散能力,粒子間相互作用增加會提高分散體黏度,剪切模量下降增加了粒子融合可能性。這3 個因素都使得分散體在干燥過程中表面易于形成致密薄膜,前面已經討論過,由于分散體干燥過程中出現表面“結皮”現象會使得分散體干燥出現3 階段現象。“結皮”使得分散體干燥變得緩慢。水性聚氨酯分散體干燥第二階段是結合水揮發階段,此階段在其他分散體干燥過程中不一定出現。通常內乳化水性聚氨酯分散體的結合水含量為聚氨酯量的10%~50%,有些特別親水性高的分散體甚至可以高達80%。結合水揮發比游離水揮發要困難得多。因此此過程一般緩慢而漫長。
在實際應用中,應用工程師往往感覺水性聚氨酯分散體的成膜速度非常快,絲網印刷時極易在絲網上成膜而堵塞網眼,用指頭搓磨水性聚氨酯分散體很快可以搓出繩狀物來,給人造成水性聚氨酯分散體干燥速度快的感覺,也有人認為水性聚氨酯分散體耐機械穩定性不高。其實水性聚氨酯分散體機械穩定性非常好,大家知道機械穩定性是于機械剪切作用使得分散體粒子表面的乳化劑脫離引起的不穩定現象,水性聚氨酯分散體采用內乳化工藝生產,粒子表面的“乳化劑”是通過化學鍵連接在聚氨酯分子結構中,不可能被剪切而脫離。應用工程師所感覺的干燥快、機械穩定性差實際上是前面談及的“開放時間”問題,含有結合水的聚氨酯分散體表觀含固量不高,但實際含固量(將粒子內結合水看作分散質的構成時)可能比表觀含固量高很多,干燥時很快就可以達到粒子緊密堆積狀態,且水的溶脹造成分散體粒子相互作用增加,粒徑加大,黏度增加,表面涂層邊緣或易于形成失去流動的致密結構,也就是說水性聚氨酯分散體的開放時間較短。迅速形成的致密薄膜會堵塞絲網,在指頭上磋磨時也會形成繩狀物。
4.2 水性聚氨酯分散體粒子內結合水對干燥開裂的影響
4.2.1 粒子內結合水對毛細管壓力引起的開裂的影響
同樣將結合水看成分散質的一部分,在分散體揮發干燥第一階段分散相水揮發過程中,水性聚氨酯分散體形成的毛細管壓力與應力與其他分散體干燥也沒有什么不同,但分散體中結合水對分散體粒子的溶脹首先改變了分散體粒子的剪切模量使得分散體粒子更加柔軟易于變形。其次水的溶脹會增加分散體粒子的粒徑,這兩方面原因都會對毛細壓力引起的涂層開裂產生影響。采用Tirumkudulu 從理論和實驗獲得的結果,討論水性聚氨酯分散體干燥過程中毛細壓力引起的涂層開裂狀況。首先當分散體成膜較軟,分散體分子結構成線性,此時分散體粒子剪切模量較低,Tirumkudulu 從理論和實踐都證實毛細壓力引起的涂層開裂與分散體粒子剪切模量成反比。此時分散體粒子內的結合水會更進一步降低分散體粒子的剪切模量,特別是結合水大部分處于粒子表層,因此粒子表層更易形變而在成膜時釋放應力,因此軟性水性聚氨酯分散體成膜因毛細管壓造成的薄膜開裂較為少見。
當分散體成膜較硬時,或分散體出現高度預交聯時,分散體粒子的剪切模量較高,根據Tirumkudulu 理論,此時分散體抗開裂性能與分散體粒子剪切模量的1/2 次方成正比,與粒徑的3/2 次方成正比,由于分散體粒子內出現結合水,分散體粒子剪切模量下降,會增加開裂可能性,但結合水造成的粒徑增加又會降低開裂可能性,綜合因素看,當分散體粒子剪切模量較高時結合水的存在還是會降低分散體因毛細壓力引起的開裂現象。硬性或高度交聯的水性聚氨酯分散體在成膜過程中出現因毛細壓力引起的涂層開裂的現象是存在的,毛細壓力引起的開裂大多出現在水平干燥過程,垂直干燥過程因表面致密膜與不能收縮的基材間存在處于流動狀態的分散體而使得應力釋放較少出現開裂。水平干燥裂紋一般會呈現一系列平行條紋,這是毛細壓力造成涂層開裂的基本特征和判斷標準。如果你的水性聚氨酯涂層出現這種有規則的開裂,就可以將這種開裂歸屬于毛細壓力引起的開裂,上面理論可以幫助你解決這種開裂問題。比如加入成膜助劑,大幅降低粒子剪切模量,將模量范圍降低到Tirumkudulu 理論中低模量區域。作為一種環保材料,成膜助劑使用量是有一定限制的,有些硬性和高度交聯分散體即使加入大量成膜助劑還是未能將剪切模量范圍降低到低模量區域,此時可以應用高模量區域理論,我們在實踐中有一個成功案例,有一個硬度較高的水性聚氨酯分散體成膜時出現規則開裂,明顯是毛細壓力引起的開裂,但加入成膜助劑使得涂層干燥速度過慢達不到客戶要求,Tirumkudulu 理論指出此時抗開裂性與粒徑的3/2 次方成正比,與表面張力的1/2 次方成反比,通過改變合成配方在不改變涂膜硬度時增加分散體粒徑,在分散體中添加高效表面張力降低劑(潤濕劑)降低分散介質表面張力,在不添加成膜助劑前提下很好解決了涂膜開裂現象。
4.2.2 結合水揮發造成的體積收縮造成應力引起薄膜開裂
在從事水性聚氨酯分散體研究的多年實踐中發現水性聚氨酯成膜開裂大多出現在成膜后期,且開裂不是毛細壓力造成裂紋的特征規則條紋,而是產生學界定義的分級開裂(Hierachical crack),分級開裂的裂紋特征如圖14。
分級開裂的特征是裂紋是先后產生,裂紋形成后沿著一定方向發展,后形成的裂紋發展遇到先形成的裂紋后被終止,其結果是形成一系列空間分割圖案,并出現等級特性,所謂等級特性是指裂紋在長短寬窄方面產生等級現象,前期形成的裂痕長且寬,后期產生的裂痕由于遇到前期產生的裂痕后被終止顯得短,前期裂紋形成后已經釋放部分應力,后期形成裂紋的應力有限,形成的裂紋窄,裂紋相交角度大多趨向90°。
污泥干燥通常會出現標準的分級開裂現象,學界公認分級開裂是由于材料體積收縮形成。當某一材料中含有可揮發物質如溶劑、結合水等,干燥時可揮發物質脫除會造成材料體積減小,而當收縮的材料附著在一個不可收縮的基材上時,體積收縮就會造成材料分級開裂。學界對體積收縮形成的分級開裂研究也較多,提出了一些數學模型,建立了理論體系,一些涉及分級開裂理論研究,更多是關于裂紋圖案的統計。我們發現這些理論在解釋水性聚氨酯分散體分級開裂時都存在一些問題,盡量將現有理論進行修正以適合定性上解釋水性聚氨酯分散體干燥過程中結合水揮發體積收縮引起的開裂問題。對于水性聚氨酯分散體的干燥后期,游離水完全揮發,粒子經過變形形成致密堆積,雖然體系中粒子界面愈合還在逐步進行,成膜的初步階段已經完成,此時水性聚氨酯粒子邊界水溶脹層疊加形成水溶脹區域,由于水溶脹區域與低含水量區域折射率不同,成膜狀態是一種失去流動性乳白色不透明薄膜。此時膜結構示意圖見圖15。
水分進一步揮發,水溶脹區域體積會收縮,而基材不能收縮,此時就會形成應力,體積收縮形成的應力比較大,這不是毛細壓力引起的應力可以比擬的。物理學家已經建立了系統的裂紋理論,定義了兩個物理概念,應變能釋放率(strain energy release rate)和界面韌性或斷裂能(interfacial toughness),所謂應變能釋放率是指裂紋每擴展單位面積時,彈性系統能釋放出的應變能,通常用G 表示,界面韌性或斷裂能是指裂紋擴展單位面積需要的能量,通常用Γ表示,界面韌性是材料對裂紋擴展的阻擋能力,它是材料的一個常數。對于彈性系統材料:
其中g(α,β)為Dundure雙材料參數,它與膜材料及基底材料的模量及泊松比等性質有關,可以通過理論和實驗獲得,對于確定體系它有確定值,E為材料楊氏模量,ν為材料泊松比,h為膜厚度,σf為材料應力。
當G >Γ,釋放出的彈性勢能足以提供新形成的界面能,裂紋會繼續發展,而當G <Γ,釋放出的彈性勢能不足以提供新形成的界面能,裂紋不會繼續發展。
這種裂紋理論無疑是得到實踐檢驗的,但問題是這種理論是否可以直接應用于水性聚氨酯分散體的成膜過程分析?答案是既肯定又否定的。首先水性聚氨酯分散體材料不是理想的彈性體系。大家知道高分子材料大多是屬于粘彈體系,它既有類似固體的普彈性,又具有應變滯后的滯彈性,還具有可以產生不可逆變形的類似液體流動粘流性。對粘彈材料施加固定應力,它可以表現出彈性,然而隨著時間的延續,材料可以產生蠕變,形變將會持續發展。而如果應變固定的話,應力將會用于克服分子鏈滑動而逐步釋放表現出應力松弛。對于理想彈性體系應力能量僅有一個釋放途徑,形成裂紋造就新界面,如果材料能阻止裂紋形成,那么應力永遠存在,應力能量以彈性勢能形式儲存在材料中。而對于粘彈體系,應力能量釋放就有了兩個途徑,形成新界面和用于蠕變克服分子鏈摩擦。對于水性聚氨酯體系,另外一個難以直接應用裂紋理論的因素是在干燥過程中,應力、模量、薄膜厚度、界面韌性都是處于變化之中。應力隨材料體積收縮形成,應力一旦形成,應力松弛對應力的釋放緊隨其后,應力松弛是一個有關時間的概念。在應力形成和松弛一直處于相互作用中。水對于水性聚氨酯膜是一種增塑劑,隨著水分的揮發,膜材料的模量會隨之上升。毫無疑問隨著水分揮發也會改變膜的厚度。特別是界面韌性,我們知道分散體成膜,粒子間界面愈合是成膜的關鍵過程,隨著粒子間界面的愈合,材料機械性能逐步提升。而粒子間界面愈合是一個緩慢過程,愈合程度是一個時間變量。開裂與蠕變釋放應力示意圖見圖16。
現在回到物理學家已經為我們建立的裂紋理論,將裂紋理論增加時間軸就可以用于水性聚氨酯分散體干燥過程。隨著干燥時間的延長,粒子界面的逐步愈合,材料的界面韌性隨之提高,材料模量、應力等也在改變,應變能釋放率也會隨之改變。在整個時間軸上只要出現應變能釋放率超過界面韌性,薄膜就有可能出現裂紋。
現在我們需要在整個時間軸上分析各種因素的改變。首先是膜材料的界面韌性,在粒子完成變形形成緊密堆積時粒子還存在界面,理論上界面韌性還可以看成是水的界面韌性。理論模型都是通過計算擴散越過粒子界面的分子鏈數量計算其斷裂能,關于分子鏈擴散的多個理論獲得的結論有一條基本是一致的,就是分散體成膜時斷裂能的變化與退火時間(也就是成膜時間)的平方根成正比,這個結論也得到實驗證實。
分散體成膜時斷裂能的變化還與聚合物分子性質有關,各種模型都是將聚合物看成一成不變的材料,也就是說聚合物的性質是不隨時間改變的,但對于水性聚氨酯分散體,前期的粒子緊密堆積膜實際上是水合聚氨酯材料,隨著干燥的進行,粒子界面愈合的同時,結合水也在揮發,因此材料的性質也在改變。這種改變對斷裂能隨時間的變化也一定有影響。最終斷裂能是否還是與時間的平方根成正比需要實驗檢驗,但斷裂能隨時間延長而逐步提高的結論是確定無疑的。
現在來分析一下應力的產生與變化。材料體積收縮產生的應力是由收縮產生的應變而形成的,應力與材料收縮率和材料性質有關。舉例來說,假定一條條狀材料,固定在距離5 cm的夾具中,采用適當方法使之長度收縮到4 cm,但由于夾具阻止其收縮,長度還是維持5 cm,此時應力是多少呢?假設讓材料自由收縮到4 cm,而后拉伸到5 cm。兩種狀態是否等同呢?答案是等同的。也就是說固定在夾具中的材料收縮產生的應力為收縮后材料的楊氏模量乘以收縮應有的應變,這個應有的應變可以由收縮率計算。在不能收縮的基材上的水性聚氨酯薄膜干燥時收縮形成的應力與上面固定在夾具中材料收縮形成的應力原理是相同的,也就是說薄膜干燥收縮應力是與薄膜材料楊氏模量和收縮率有關。
其中ε為應變,E為楊氏模量,將式(10)代入式(9)中得:
為了更好說明問題將式(12)進行簡化,g (α ,β )為Dundure雙材料參數,它與膜材料及基底材料的模量及泊松比等性質有關,可以通過理論和實驗獲得,對于確定體系它有確定值,ν為膜材料泊松比,對于確定材料變化較小,因此將式(12)簡化為:
對于確定體系K為一確定值,因此應變能釋放率為與應變平方成正比,與楊氏模量成正比,與膜厚度成正比。首先公式中應變指的是什么?由于分散體是在不能收縮的基體上成膜,干燥過程似乎沒有應變產生。這里所謂的應變是指將解除基材對膜材料的限制釋放應力后膜的自由狀態看成原始狀態,而將基材限定下實際膜狀態看成應力作用下的拉伸狀態,拉伸狀態與自由狀態的二維空間比較為應變。
水性聚氨酯干燥過程中定義的這種應變與哪些因素有關呢?首先這種應變是收縮形成的,它的大小與收縮率有關。假設薄膜干燥時的收縮是各向同性的,即收縮在x、y和z方向的收縮率相同,在t 時間膜體積收縮率為C t時,膜在水平x軸上的形變εt為:
干燥收縮引起的形變僅僅是時間和干燥速度的一個函數,時間延長,干燥速度加快,形變加大。體積收縮形成的形變是否就是應變呢,對于普彈材料,形變就是應變,但對于高分子材料,一旦應力形成,蠕變或者應力松弛就隨之產生,對于粘彈高分子材料,在應力作用下的應變實際上可以分解為3部分,普彈性的形變,滯彈形變和粘性流動引起的永久形變。
ε2為滯彈形變,材料施加應力后,由于高分子鏈運動滯后形成的應變,它與施加應力后的時間有關。
ε3為粘性流動形成的永久形變,它也與時間有關。
其中,η為高分子粘流的黏度。
對于高分子收縮體系,對應力有貢獻的僅有普彈形變,滯彈現象由于成膜時間較長,t遠大于τ,而使得滯彈形變為0,粘流引起的永久形變實質上是蠕變已經釋放的應力部分。對于成膜過程,其中應力是隨時間變化而變化的,因此粘流引起的形變應該為0~t時間的積分
膜的普彈應變應該是收縮引起的形變減去蠕變形成的永久形變。隨著干燥的進行,膜材料體積收縮逐步加大,因此收縮形變與干燥時間成正比,而蠕變的形變也與時間成正比,其差與時間的關系就比較復雜,我們僅能進行一些定量的討論。
對于水性聚氨酯干燥過程,式(13)中的楊氏模量是隨時間增加而增加,膜厚度會隨時間增加而減少。將式(13)的影響因素逐個討論的目的還是希望獲得一些定性的結論指導實際應用。對于成膜收縮是否會造成開裂,引入時間軸后,在整個時間軸上任何點如果出現G >Γ 時,膜材料就有可能在此時間段出現開裂。
5 水性聚氨酯因干燥引起膜收縮對開裂的影響
討論理論的目的是希望能指導實踐,就以上理論來具體定性討論一些因素水性聚氨酯因干燥引起膜收縮對開裂的影響。
(1) 干燥速度對開裂影響
干燥速度較快時,膜收縮變形快速形成,而蠕變永久形變需要時間,因此造成普彈應變較大,G 短時間就可達到較高值,Γ 隨時間增加也比較緩慢,出現G >Γ 可能性增加,干燥過程易于形成開裂。
(2) 水性聚氨酯材料模量對開裂的影響
從式(13)可看出,E 較大,G 較大,易于產生開裂,實踐中硬性水性聚氨酯成膜極易形成裂紋。
(3) 膜厚度影響
從式(13)看出,G 與膜厚度有關,而Γ是材料本性與厚度無關,增加厚度,增加成膜開裂可能。
(4) 高分子交聯對開裂的影響
交聯會影響高分子材料的蠕變性能,從式(18)或式(19)可以看出,永久形變與高分子黏度成反比,高分子黏度越小,形變的永久形變越大,對于線性聚氨酯,其蠕變非常明顯,收縮造成的應力很快通過蠕變而使得應力釋放。而交聯會阻止材料蠕變。因此交聯水性聚氨酯分散體成膜更易于開裂。
(5) 溫度對成膜開裂的影響
溫度影響比較復雜,如溫度會提高干燥速度,降低材料楊氏模量,促進材料粒子界面愈合速度,加快材料蠕變。除了對干燥速度的提高會對開裂造成負面影響,其他因素都會對消除成膜開裂有幫助作用,總體來說,提高溫度成膜開裂可能性減小。
(6) 采用成膜助劑對開裂的影響
成膜助劑的加入對消除膜開裂極為有效,首先成膜助劑的加入,降低了材料模量,幫助分子鏈運動加快了分散體粒子間界面愈合速度,提高了蠕變速度,當然也會增加成膜體積收縮率,但正面影響遠大于負面。
(7) 粒徑對成膜開裂的影響
當水性聚氨酯分散體粒徑較小時,通常是引入的親水基團量較大,粒子邊界層也較厚,成膜過程中收縮率會加大,成膜開裂可能性增加。
6 實踐中水性聚氨酯分散體成膜可能會同時存在毛細壓引起的開裂和體積收縮引起的開裂
圖18是將水性聚氨酯分散體倒在玻璃板上干燥出現的一種十分有趣的開裂現象,涂膜邊緣出現一系列平行裂紋,這是毛細壓在水平干燥過程中引起開裂現象。隨著水平干燥的發展,垂直干燥過程也在涂膜中心區域進行,干燥進行到某一時間,中心部分的垂直干燥也基本完成,因此水平干燥的向前發展也結束。進一步干燥膜中心部位出現了分級開裂,這明顯是干燥過程體積收縮造成的,邊緣部分后期也會出現干燥體積收縮,但由于前期已經形成毛細壓裂紋,收縮不會產生新裂紋而是在毛細壓裂紋基礎上進一步擴展。
7 結語
水性聚氨酯分散體作為分散體的一種,其干燥過程及成膜過程中應力的形成與其他分散體并無本質區別,但由于水性聚氨酯的結構特點水性聚氨酯的干燥過程以及成膜應力出現了一些特殊性,這些特殊性在常規分散體干燥過程中也會出現,只是在水性聚氨酯體系中被強化。這些特殊性主要是水性聚氨酯分散體粒子內含有一定量結合水。反應在干燥過程中,干燥速度慢的同時還出現涂膜表面結皮,開放時間短的現象;表現在成膜應力形成上,出現了其他分散體少見的涂膜收縮應力。
三升貿易有限公司長期供應水性聚氨酯,歡迎聯系QQ:2091377794或繼續關注我們的官方網站www.r5143.com。
下一篇:乳膠漆色彩的保證年限是多少?上一篇: 水性涂料——消泡劑簡介和分類
此文關鍵字:水性聚氨酯
同類文章排行
- 絲印油墨的消泡與脫泡問題
- 水性柔板和凹版油墨,上光油消泡劑問題
- 迪高消泡劑常見問題
- 消泡劑是如何起作用的?
- 脂方族水性樹脂,有什么特殊性能?
- 醇溶性聚氨酯樹脂與水性聚氨酯樹脂有什么區別
- 水性樹脂為什么對鋁的附著力不好,怎么解決
- 分散高色素炭黑和普通炭黑要用不同的分散劑
- 分散劑分散鈦白粉炭黑彩色為什么效果不一樣
- 加消光粉后涂料表面顆粒感產生原因及解決方法
最新資訊文章
- 具有隔熱反射功能涂料的制備方法
- 雙組份透明玻璃隔熱涂料配方及其制備方法
- 自清潔有機硅改性丙烯酸樹脂隔熱反射涂料制備方法
- 復合型水性丙烯酸隔熱涂料及其制備方法
- 高固含量水性紫外光固化透明隔熱涂料及其制備方法
- 環保型透明隔熱涂料配方及其制備方法
- 納米ATO/TiO2填料水性聚氨酯隔熱透明涂料配方
- 合成聚氨酯玻璃隔熱涂料配方及其制備方法
- 環保隔熱涂料及其制備方法
- 防水隔熱外墻涂料配方及其制備方法
您的瀏覽歷史






